|
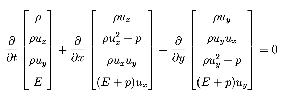
In this example we use CentPack's two-dimensional second order fully-discrete formulation, centpack_2d_FD2, to evolve the solution of Euler's equations of gas dynamics
where the pressure, p, is related to the conserved quantities through the equation of state

with . We solve a two-d Riemann problem over the computational domain , with initial conditions given by

and Dirichlet boundary conditions (i.e., the conserved quantities take on the values specified by the initial conditions at either boundary). The solution is evolved up to , using a 200 x 200 mesh and cfl number 0.75.
The images below display the contour lines of density, and pressure (top) and the velocity field (bottom) at ,. Click on the individual images to see an animation from to .
 

Click on the images above to see an animation
The files implementing this exaple are included in the current CentPack distribution, CP-1.0. Read here how to run and compile this example.
|